Ilja Gerhardt

Scientific Orientation


The central goal of my research is to experimentally research on the ultimate limits of single emitter and single photon spectroscopy. This includes their detection, their microscopic localization, and the sensing of single emitters and their environment. In some experiments I coupled single molecules to external structures, such as silver nanowires. The combination of single solid-state emitters and the narrow-band features of an atomic vapor opens up a novel field of quantum-hybrid systems. My research on single molecules has been very influential to other areas, such as the research on quantum dots and single atoms.
  • Chemical Sensors

    In my diploma thesis I developed a new microscope for impedance microscopy. The technique is similar to the light addressable potentiometric sensor (LAPS). This new method is called scanning photo-induced impedance microscopy (SPIM). Using this technique, the impedance of thin films can be measured with lateral resolution.
    The optical setup is based on a CD-ROM player optic. A focus of 2.6 µm was achieved using this cheap and easy to handle device. We performed extensive studies to the optical resolution and carrier diffusion in the semiconductor bulk. The lateral resolution of LAPS measurements can be improved by using GaAs as the semiconductor material instead of Si. The diffusion length of the minority charge carriers was determined to be smaller than 3.1 µm.
    LAPS - Light Addressable Chemical Sensor
    SPIM - Scanning Photoinduced Impedance Microscope
    Experimental Setup of the built microscope
    Optical Setup - designed with an optical pickup of a CD drive
    Equivalent circuitry of a MIS structure
    One of the first acquired images of the microscope
    Method to determine the diffusion of carriers in the semiconductor
  • Single Molecules & other Single Emitters

    The invention of the laser in the 1960s was a key evolution in the path towards optical single molecule detection. Already in 1976 Hirschfeld performed an experiment which was an important step towards this goal. Using a laser to excite a fluorescently doped sample and detecting the spectrally filtered light on a photomultiplier, he was able to see the fluorescent fingerprint of a cluster of molecules. In the 1980s Moerner and Kador succeeded in the first optical detection of single pentacene molecules, but this new technique only became important for biology and sensing in the 1990s when the experiments were extended to work at room temperature. These experiments rely on efficient discrimination of the excitation laser light from the molecule's red shifted fluorescence. Since then, single molecule spectroscopy has become a valuable tool to overcome ensemble averaging over many emitters and to perform microscopy at a sub-diffraction limited scale. In terms of sensitivity the detection of a single molecule of a certain compound represents the ultimate limit.
    I researched on several species of single molecules at room and cryogenic temperatures.
    Level Diagram of a Single Molecule
    A 899 Coherent Dye Laser - the tool for high resolution spectroscopy on Single Molecules
    HOMO and LUMO of a Single Molecule (DBATT)
    Terrylene - the Guinea Pig of the Single Molecule Spectroscopist
    Two confocally resolved single molecules at room temperature
    An auto-correlation measurement on a single Terrylene molecule at room temperature
    A spin-coated 20-50nm thin crystalline sample, made of p-terphenyl
  • Strong Focusing, Microscopy & Imaging

    In the past years I am very interested in strong focusing and microscopy. The usual technique to monitor single molecules is confocal microscopy with beam scanning. I did several analytic calculations on the electric field in the proximity to an optical focus. This is meant to optimize the interaction of a single emitter and an optical field.
    Own developments in the field of microscopy and localization include the localization of a single molecule, based on a location dependent Stark shift, the first experimental implementation of a semi-conductor based impedance microscopy (SPIM) and the application of coherent properties (Rabi oscillations) for locating a single emitter.
    Also research on light in confined geometries (e.g. photonic crystal fibers) was performed.
    The confocal microscope - an important tool for single molecule studies
    A telecentric system for beam scanning. Turning point is the back focal plane of the microscope objective
    A focus of a high NA microscope objective with an overfilled back aperture. Calculated after Ignatovsky / Richards & Wolf
    The Poynting vector in a high NA focus. Right image: a zoom into the inner region of the focus
    A hollow-core photonic crystal fiber. This side-image shows the collapsed hole structure for filling solely the fiber core
  • Near-field Optics

    As part of my PhD work I set up and operated a cryogenic scanning near-field optical microscope (SNOM). In a SNOM a metal coated glass fiber probe guides laser light to a sub-wavelength sized aperture which is positioned a few nanometers above a sample. The light exiting this aperture has an evanescent component, which is decreasing exponentially with distance, but (is scattered off the sample and) enables optical microscopy with a resolution on the order of the aperture diameter. Each fiber probe was manufactured by first coating a heat-pulled glass fiber with aluminum and then cutting the end off using a focused ion beam.
    Different modes to perform tip-based near-field optics
    The exponential decay of an evanescent wave, originating from a near-field tip
    Calculation after Bethe-Bouwkamp for the different field components of a sub-wavelength aperture
    A simple room-temperature scanning near-field optical microscope (SNOM)
    The experimental details of the cryogenic SNOM, operating at T=1.4K
    Photograph of the inside of the cryostat
    The exchange system, for quick and easy tip-change (it takes about a day)
    Tip-preparation by melting and pulling a glass fiber
    Nano-manipulation of a near-field tip under a focused ion beam (FIB)
    The aperture of a nano-machined near-field tip
    Electromicrograph of a near-field tip, including the quartz tuning fork detection
    The cryogenic SNOM in the lab
  • Absorption & Extinction

    I was able to show the first experiments where a single quantum system strongly affects the amplitude and phase of a laser field emerging from a sub-wavelength aperture. Since then the topic of light absorption and extinction kept me busy in several fields.
    The single molecule extinction experiment: A solid immersion lens is used to focus the light onto the single molecule
    The inner part of the optical setup
    A fluorescence excitation spectrum and an extinction spectrum, simultaneously collected of a single molecule
    The extinction is based on a destructive interference of incident and scattered light
    Calculated energy flow (Poynting vector) for a pure scattering point size particle. After Paul and Fischer
    Calculated energy flow (Poynting vector) for a slightly absorbing point size particle
  • Quantum Optics

    Single dye molecules at cryogenic temperatures exhibit many spectroscopic phenomena known from the study of free atoms and are thus promising candidates for experiments in fundamental quantum optics. However, the past techniques for their detection have either sacrificed information on the coherence of the excited state or have been inefficient. I was able to show that these problems can be addressed by focusing the excitation light near to the extinction cross-section of a molecule. The detection scheme enabled us to explore resonance fluorescence over nine orders of magnitude of excitation intensity and to separate its coherent and incoherent parts. In the strong excitation regime, we were able to demonstrate the first direct observation of the Mollow fluorescence triplet from a single solid-state emitter. Under weak excitation, we report the detection of a single molecule with an incident power as faint as 600aW, paving the way for studying nonlinear effects with only a few photons.
    In short-pulse experiments I was able to excite single molecules via narrow zero-phonon transitions. By monitoring the Stokes-shifted fluorescence, we studied the excited state population as a function of the delay time, laser intensity, and frequency detuning. A Pi-pulse excitation was demonstrated with merely 500 photons, and 5 Rabi cycles were achieved at higher excitation powers. Our findings are in good agreement with theoretical calculations and provide a first step toward coherent manipulation of the electronic states of single molecules with few photons.
    I am specialized in time-resolved single photon counting.
    Rabi oscillations of a highly excited single DBATT molecule
    Two coupled Terrylene molecules, embedded in a solid state sample
    A single molecule under high excitation is showing the characteristic feature of the Mollow triplet
    The coherent and incoherent scattering of a single molecule, measured utilizing a polarizer
    Experimental setup to generate short optical pulses with a high signal to background ratio
    The actual experimental setup to chop the light of a dye laser. The generation of 2.9ns short pulses is possible
    A single molecule showing Rabi oscillations in different excitation regimes
    Integrated measurement of the red-shifted fluorescence showing a coherent state preparation
    We can prepare an arbitrary correlation statistics for two photon detectors. This research was published in PRL.
  • Atomic Spectroscopy

    In this work an experiment was set up to study nonlinear optical processes in a Rubidium vapor cell with the aim of developing a new technique which allows to create correlated narrow-band photon pairs.
    The options of implementing a narrow-band Faraday anomalous dispersion optical filter (FADOF) with Rb for efficient filtering of single photons were evaluated.
    Via an S-P-D transition directed blue emission was observed.
    Please also note the sodium page for our efforts on atomic sodium.
    Level scheme of atomic Rubidium. With branching ratios
    A self-built Littrow stabilized diode laser
    Scheme to get cascaded emission in a double lambda scheme
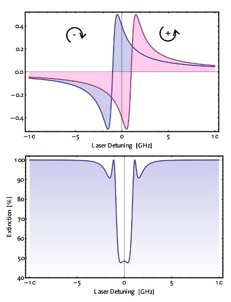
    The Zeeman effect results in an optical rotation, which might be used as an atomics filter
    A Rb-Faraday anomalous dispersion optical filter (FADOF)
    The same FADOF for different magnetic fields, displayed are the two output ports of a polarizer
    Blue light generation in a hot atomic vapor cell via an S-P-D transition
  • Quantum Key Distribution & Cryptography

    In Singapore I was working with the free-space quantum key distribution (QKD) implementation. Here a free space transmission path is used. We were able to extend the experiments to daylight operation by implementing spectral, spatial and temporal filtering techniques. It is possible to establish a secure key continuously over several days under varying light and weather conditions.
    Digging more into the techniques of single photon detection I researched on a van-Enk phreaking attack on the polarization detector, but an optical attack was shown to be more successful. Here a physical imperfection (detector vulnerability) was used. We have successfully built an intercept-resend attack and demonstrated eavesdropping under realistic conditions on an installed quantum key distribution line.
    Quantum cryptography, as being based on the laws of physics, was claimed to be much more secure than all classical cryptography schemes. (Un)fortunately physical hardware is not beyond of an evil control: We present a successful attack of an existing quantum key distribution system exploiting a photon detector vulnerability which is probably present in all existing devices. Without Alice and Bob losing their faith in their secure communication, we recorded 100% of the supposedly secret key. To test the randomness of bitstreams in quantum key distribution, I implemented the NIST random number testsuite in Mathematica and Python. For further details on random number testing, see here.
    The Singapore QKD-system with a free space optical channel
    The polarization detector
    Receiving telescope of the QKD system
    The system is based on BBM92, an entangled light source is sending out photons, which are analyzed by the two communicating parties
    Bell's inequality. The highest Bell violation is reached at 22.5 deg
    Simple van-Eck-Phreaking on the polarization detector. A single click triggered an oscilloscope and the corresponding rf-click is recorded
    Unfortunately all detectors have intrinsic non-linearities. Thereby it's possible to 'trick' the detectors to show a click, even if there was no single photon
    Single photon and multiple photon detection on an avalanche photo diode (APD)
    An intercepted quantum key distribution communication. The eavesdropper has all information on the secret key
    A Perkin-Elmer single photon counting module opened. Let's understand better how to detect single photons
    Since we can control single photon detectors in a number of quantum optical experiments, we can 'fake' the violation of a Bell's inequality.
    Basics on elliptical curves. Some images to understand ECC.

 

  • Science
  • Publications
  • Talks & Posters
  • Teaching
  • CV
  • Software
  • Graphics
  • Videos
  • Links
Contact